2018年4月高等教育自学考试全国统一命题考试市场调查与预测题答案及评分参考
(课程代码00178)
一、单项选择题(本大题共20小题,每小题1分,共20分)
1.A 2. C 3. B 4. A 5. B
6. A 7. D 8, C 9. D 10. A
11.D 12. D 13. A 14. D 15. B
16. A 17. C 18. A 19.C 20. A
二、多项选择题(本大题共5小题,每小题2分,共10分)
21. AD 22. ABCD 23. ADE 24. ACDE 25. CDE
三、名词解释题(本大题共4小题,每小题3分,共12分)
26、指花费尽量少的时间和成本,对市场环境或其他相关因素进行初始调査与分析,以便确定营销中存在问题的表现和可能的原因。
27、调査者根据调査问题给出一连串词语,每给一个词语,都让被调查者回答最初联想到的词语(反应语)。
28、是按照一定的标准和比例分配样本的数额,然后由调查者在分配的额度内任意抽取样本的方法。29、是指将总体或样本数据按由小到大或由大到小顺序排列起来,形成一个数列,居干数列中间位置的那个数据。
四、简答题(本大题共6小题,每小题5分,共如分)
30、(1)完整性;
(2)准确性;
(3)明确性;
(4)简洁性。
(注:每个要点1分,要进行简单说明,全部答对给5分。)
31、(1)简要说明;
(2)研究背景;(1分)
(3)研究目的;
(4)调查目的和范围; (1分)
(5)调査方法;
(6)经费预算;(1分)
(7)调研进度;
(8)用途;(1 分)
(9)附录。(1分)
32、(1)购买对象调査;(1分)
(2)购买组织调査;(1分)
(3)购买目的调査;(1分)
(4)购买方式调査,(2分)
33、(1)为每一指标的各类别赋值,一般是从有利态度向不利态度依次赋予递减的值;(2分)
(2)把所有被调査者对于评价对象在每一指标上的得分加总、平均;(2分)
(3)将上一步的结果绘制在经过改造的语意差别量表图上,进行图表分析。(1分)
34、(1)接触调查对象;(1分)
(2)提问;(1分)
(3)追问;(1分)
(4)记录答案;(1分)
(5)结束访谈;
(6)注意事项。(1分)
35、(1)集中趋势指标:均值、众数、中位数;(2分)
(2)离散程度指标:方差、标准差、变异系数、极差、四分位点内距、频率。(3分)
五、论述题(本大题共1小题,10分)
(1)产品调查:(1分)
(2)定价调查:(1分)
(3)分销调查:(1分)
(4)促销调查。(1分)


(注:每个要点展开说明给1分,结合实际情况分析2分。)
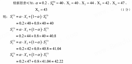
六、计算题(本大题共2小题,每小题9分,共18分)
解:①计算一次指数平滑值。