欢迎您访问云南自考网!  今天是
当前位置: 网站首页 > 自考答案 >

全国2018年4月自考00915《电子商务与现代物流》试卷答案

2018-10-31 15:11来源:云南自考网
全国2018年4月自学考试电子商务与现代物流试题答案
(课程代码00915)
 
一、单项选择题:本大题共30小题,每小题1分,共30分。
1.A2.B3.D4.D5.A
6.B7.C8 B9.D10.C
11.B12.C13.A14.A15.D
16.B17.A18.B19.D20.B
21.D22.A23.B24.B25.D
26.A27.D28.C29.A30.B
 
二、填空题:本大题共10空,每空1分,共10分。
31.资金流 配送网络
32.非生产 运输
33.流向 浪费运力
34.成本分歧点 区域范围
35.铁路 公路
 
三、简答题:本大题共5小题,每小题6分,共30分。
 
36.物流、配送系统网络出现的问题冇:
 
(1)送货时间太长。(1分)
(2)送货不准时,往往延迟。(1分)
(3)因为缺货,所订的货无法配送。(1分)
(4)送货时间不稳定。(1分)
(5)消费者订货后无法知道送货的具体信息。(1分)
(6)不知向谁反映配送中出现的问题。(1分)
 
37.运输的定义:用运输设备将物品从一地点向另一地点运送。(3分)
商品运输的业务操作程序主要包括以下几项:
(1)商品的托运和承运。(1分)
(2)商品的装车和卸车。(1分)
(3 )商品的到达与交付。(1分)
 
38.共同配送是以提高经济效益为目标,由几个配送企业联合起来集小量为大量,共同利用同一配送设施或配送车辆进行配送的方式。(3分)
共同配送的方式有以下几种:
(1)共同集货型。(1分)
(2 )共同送货型。(1分)
(3)共同集送型。(1分)
 
39.物流信息系统规划的主要内容有:
(1)物流信息系统的目标、约束及总体结构。(2分)
(2)单位(企业、部门)的现状。(1分)
(3)物流业务流程的现状、存在的问题以及在新技术条件下的流程重组。(2分)
(4)对影响规划的信息技术发展的预测。(1分)
 
40.企业物流服务的管理流程主要有以下几个步骤:
(1)确定物流服务要素。(1分)
(2)收集物流服务信息。(1分)
(3)分析比较,确定物流服务水平。(1分)
(4)进行顾客服务需求分类。(1分)
(5)根据不同的顾客群体制定出相应的物流服务组合战略。(1分)
(6)物流服务的绩效评价。(1分)
 
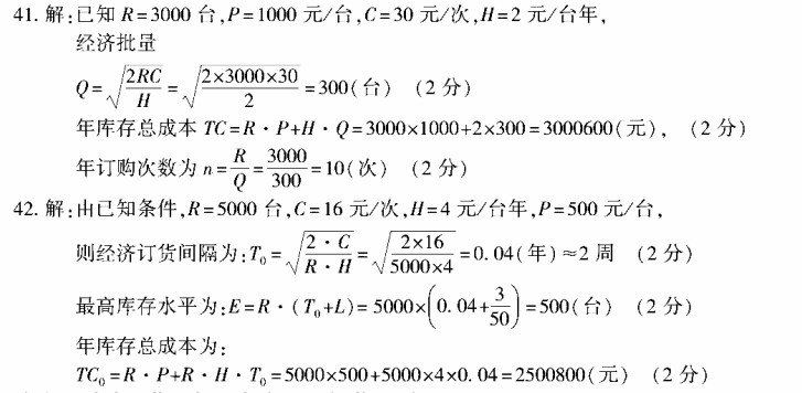
四、计算题:本大题共2小题,每小题6分,共12分。

五、论述题:本大题共2小题,每小题9分,共18分。
 
43.影响仓库储存能力的因素主要有以下几个方面:
(1)仓库储存面积。(2分)
(2)地坪承载能力。(2分)
(3)商品允许堆码高度。(2分)
合理安排货位应遵循以下原则:
(1)确保储存商品的安全。(1分)
(2)方便作业。(1分)
(3)提高仓容利用率。(1分)
 
44.配送:在经济合理区域范围内,根据用户要求,对物品进行拣选、加工、包装、分割、组配等作业,并按时送达指定地点的物流活动。(1分)
物流与配送的差別主要体现在以下几方面:
(1)从辐射范围看,物流辐射范围大,配送辐射范围小。(2分)
(2)从作业在供应链的位置看,物流作业一般发生在供应链的上游和前端靠近制造商的地方,配送一般发生在下游和未端靠近最终消费者的地方。(2分)
(3)从包含的具体作业看,物流包括运输、储存、装卸搬运、包装、流通加工、物流信息处理及一些增值服务,配送则除包含上述作业之外,还包括分拣、拣选等标志性作业。(2分)
(4)从处理的流体特征看,物流处理的流体具有少品种、大批量、少批次等特点,配送则相反,具有多品种、小批量、多批次等特点。(2分)

上一篇:全国2018年4月自考00315《当代中国政治制度》试卷答案

下一篇:全国2018年4月自考00292《市政学》试卷答案